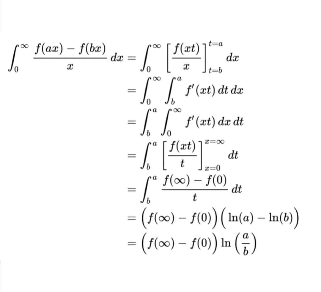
Chlapi, tak som videl profesóreho guľu a zaujalo ma, ako to počítal. Reku: Poďme si to nakresliť [viď vyššie]. Á vychádza to ako slučka pre kvantový počítač cez nekonečno u ružovej čiarky :) Toť [...] Read more
Vždy ma zaujímala Schroedingerova guľa d^2:dx^2 a tak som sa na to pozrel očami stredoškolskej matematiky. Mne ale vychádza ružová slučka CPU pre kvantový počítač:








